povsk-rostov.ru
povsk-rostov.ru
Найти
Povsk-rostov リップル
»
美国证券交易委员会 sec
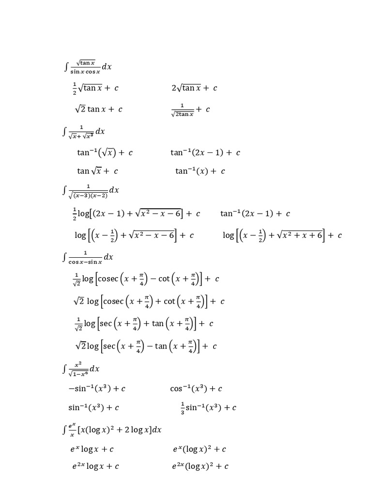
» Sec cosec cot 積分 (97) 사진
Sec cosec cot 積分 (97) 사진
0
1
2
3
4
5
02 март
0
1
美国证券交易委员会 sec
Похожие статьи
Sec 2 2x 積分 (97) 사진
Sec 三角 関数 積分 (99) 사진
Sec 2 積分 (98) 사진
Tan sec 積分 (98) 사진
Sec の 積分 (99) 사진